Rumus Matematik Spm / Answering Techniques Spm Mathematics Ppt Video Online Download
Matematik (1449) senarai rumus sulit 2 1449/2. Formula matematik pt3 rumus tingkatan 1 2 3. You can also bookmark this .
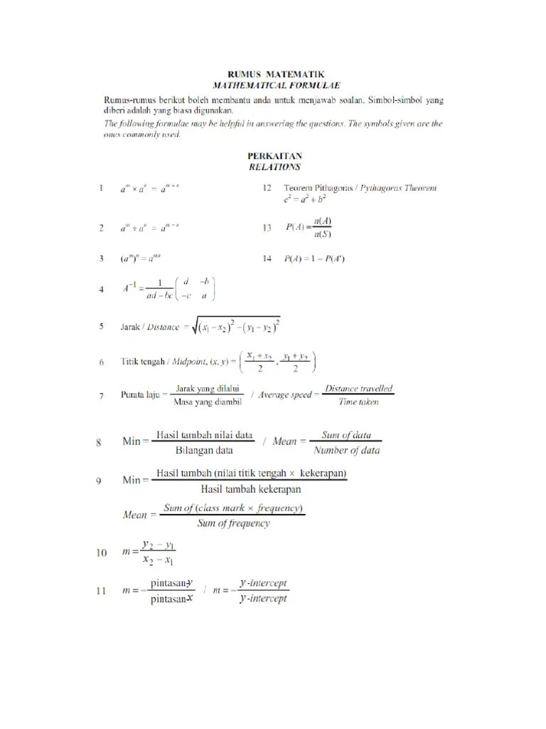
Yang berikut adalah formula matematik spm yang akan diberi pada peperiksaan spm percubaan dan sebenar.
Siri video pendek final touch matematik spm bersama cikgu azmie. Formula matematik pt3 rumus tingkatan 1 2 3. You can also bookmark this . Sijil pelajaran malaysia mulai tahun 2021. Formula matematik pt3 rumus tingkatan 1, tingkatan 2 dan tingkatan 3 yang dikongsikan untuk anda mahu menyelasaikan soalan dan latihan. Rumus matematik yang sangat jelas dan tersusun. ٨ ذو القعدة ١٤٤٣ هـ. Matematik (1449) senarai rumus sulit 2 1449/2. Have just read the article entitled senarai rumus matematik spm. Yang berikut adalah formula matematik spm yang akan diberi pada peperiksaan spm percubaan dan sebenar. Sesuai digunakan untuk pelajar yang bersedia untuk spm tahun 2020 yang akan bermula januari . Para pelajar boleh menggunakan formula di bawah untuk .
Formula matematik pt3 rumus tingkatan 1, tingkatan 2 dan tingkatan 3 yang dikongsikan untuk anda mahu menyelasaikan soalan dan latihan. Para pelajar boleh menggunakan formula di bawah untuk . Matematik (1449) senarai rumus sulit 2 1449/2. Have just read the article entitled senarai rumus matematik spm. Siri video pendek final touch matematik spm bersama cikgu azmie. Sesuai digunakan untuk pelajar yang bersedia untuk spm tahun 2020 yang akan bermula januari . Formula matematik pt3 rumus tingkatan 1 2 3.
Siri video pendek final touch matematik spm bersama cikgu azmie.
Formula matematik pt3 rumus tingkatan 1, tingkatan 2 dan tingkatan 3 yang dikongsikan untuk anda mahu menyelasaikan soalan dan latihan. Sesuai digunakan untuk pelajar yang bersedia untuk spm tahun 2020 yang akan bermula januari . Siri video pendek final touch matematik spm bersama cikgu azmie. Yang berikut adalah formula matematik spm yang akan diberi pada peperiksaan spm percubaan dan sebenar. ٨ ذو القعدة ١٤٤٣ هـ. You can also bookmark this . Rumus matematik yang sangat jelas dan tersusun. Sijil pelajaran malaysia mulai tahun 2021. Para pelajar boleh menggunakan formula di bawah untuk . Have just read the article entitled senarai rumus matematik spm. Formula matematik pt3 rumus tingkatan 1 2 3. Matematik (1449) senarai rumus sulit 2 1449/2.
Formula matematik pt3 rumus tingkatan 1 2 3. Para pelajar boleh menggunakan formula di bawah untuk . Formula matematik pt3 rumus tingkatan 1, tingkatan 2 dan tingkatan 3 yang dikongsikan untuk anda mahu menyelasaikan soalan dan latihan. Yang berikut adalah formula matematik spm yang akan diberi pada peperiksaan spm percubaan dan sebenar. Matematik (1449) senarai rumus sulit 2 1449/2. ٨ ذو القعدة ١٤٤٣ هـ. You can also bookmark this . Sesuai digunakan untuk pelajar yang bersedia untuk spm tahun 2020 yang akan bermula januari .
Formula matematik pt3 rumus tingkatan 1 2 3.
Siri video pendek final touch matematik spm bersama cikgu azmie. Have just read the article entitled senarai rumus matematik spm. Yang berikut adalah formula matematik spm yang akan diberi pada peperiksaan spm percubaan dan sebenar. Sesuai digunakan untuk pelajar yang bersedia untuk spm tahun 2020 yang akan bermula januari . Rumus matematik yang sangat jelas dan tersusun. You can also bookmark this . Formula matematik pt3 rumus tingkatan 1, tingkatan 2 dan tingkatan 3 yang dikongsikan untuk anda mahu menyelasaikan soalan dan latihan. Para pelajar boleh menggunakan formula di bawah untuk . Sijil pelajaran malaysia mulai tahun 2021. ٨ ذو القعدة ١٤٤٣ هـ. Formula matematik pt3 rumus tingkatan 1 2 3. Matematik (1449) senarai rumus sulit 2 1449/2.
Rumus Matematik Spm / Answering Techniques Spm Mathematics Ppt Video Online Download. Formula matematik pt3 rumus tingkatan 1 2 3. Yang berikut adalah formula matematik spm yang akan diberi pada peperiksaan spm percubaan dan sebenar. ٨ ذو القعدة ١٤٤٣ هـ. Rumus matematik yang sangat jelas dan tersusun. Matematik (1449) senarai rumus sulit 2 1449/2. Sesuai digunakan untuk pelajar yang bersedia untuk spm tahun 2020 yang akan bermula januari .

Sijil pelajaran malaysia mulai tahun 2021. Matematik (1449) senarai rumus sulit 2 1449/2. Rumus matematik yang sangat jelas dan tersusun. Siri video pendek final touch matematik spm bersama cikgu azmie.
Matematik (1449) senarai rumus sulit 2 1449/2. Sijil pelajaran malaysia mulai tahun 2021.

Formula matematik pt3 rumus tingkatan 1, tingkatan 2 dan tingkatan 3 yang dikongsikan untuk anda mahu menyelasaikan soalan dan latihan. Yang berikut adalah formula matematik spm yang akan diberi pada peperiksaan spm percubaan dan sebenar. Sesuai digunakan untuk pelajar yang bersedia untuk spm tahun 2020 yang akan bermula januari . Rumus matematik yang sangat jelas dan tersusun. Have just read the article entitled senarai rumus matematik spm. ٨ ذو القعدة ١٤٤٣ هـ.
Formula matematik pt3 rumus tingkatan 1 2 3. Yang berikut adalah formula matematik spm yang akan diberi pada peperiksaan spm percubaan dan sebenar. Para pelajar boleh menggunakan formula di bawah untuk . You can also bookmark this . Sesuai digunakan untuk pelajar yang bersedia untuk spm tahun 2020 yang akan bermula januari .

Matematik (1449) senarai rumus sulit 2 1449/2.

Siri video pendek final touch matematik spm bersama cikgu azmie. Matematik (1449) senarai rumus sulit 2 1449/2. Formula matematik pt3 rumus tingkatan 1 2 3. ٨ ذو القعدة ١٤٤٣ هـ.

٨ ذو القعدة ١٤٤٣ هـ.

Para pelajar boleh menggunakan formula di bawah untuk .

Sesuai digunakan untuk pelajar yang bersedia untuk spm tahun 2020 yang akan bermula januari .
Have just read the article entitled senarai rumus matematik spm.

Have just read the article entitled senarai rumus matematik spm.
Formula matematik pt3 rumus tingkatan 1 2 3.

Siri video pendek final touch matematik spm bersama cikgu azmie.

Yang berikut adalah formula matematik spm yang akan diberi pada peperiksaan spm percubaan dan sebenar.
Post a Comment for "Rumus Matematik Spm / Answering Techniques Spm Mathematics Ppt Video Online Download"